改劑型 | 基于PBPK模型評估吉西他濱口服給藥案例研究
吉西他濱是一種核苷類似物與嘧啶抗代謝物,是胰腺癌的一線治療藥物,也用于卵巢癌、乳腺癌以及非小細胞肺癌的治療。經查詢,目前吉西他濱上市劑型為注射劑和粉針,需要患者反復去醫院,并且需要支付與醫務人員和設備相關的費用,考慮一定的便捷性,迫切需要開發一種替代方案。
本案例基于生理藥代動力學PBPK模型,預測吉西他濱口服給藥后在人體的藥代動力學特征,探索該藥物從靜脈輸注轉換為普通口服給藥途徑的可能性,為其口服制劑的開發提供相應的指導。
案例分析
口服給藥的方式存在一些缺陷,最明顯的現象是受到首過代謝的影響,將會顯著降低達到系統循環的藥量,但這無疑是一種更方便、更舒適的給藥方式,本案例嘗試將口服給藥的途徑初步設定為靜脈輸注的替代方式。
吉西他濱 (BCS III類) 作為模型藥物,文獻結合臨床靜脈給藥的PK數據,搭建了一系列PBPK模型,評估吉西他濱轉換為口服速釋片后的吸收與藥代動力學特征,并與靜脈輸注給藥進行對比研究了吉西他濱片劑不同給藥方案包括各種給藥劑量、給藥間隔等口服給藥后的體內暴露,詳細如下。
PBPK建模
采用GastroPlus的高級房室吸收與轉運(ACAT)模型進行模擬,根據該藥物的FDA藥品說明書以及DrugBank收載的信息,吉西他濱的藥物清除率設置為120L/h ,模擬時間均設置為24h。
· 靜脈給藥設置為30min內推注1800mg吉西他濱(標準的治療劑量為1000 mg/㎡)。
· 針對于口服給藥的模型,劑型選擇速釋片劑,不同的給藥方案如下:每日一次、兩次、三次給予1000mg的片劑,以及每日三次給予1500mg的片劑,上述口服給藥所選擇的劑量均近似當前標準的治療劑量。
所有模型的劑量體積均設置為250mL。所有的模擬均使用一房室分布模型、空腹狀態的ACAT模型,采用GastroPlus軟件預測吉西他濱的主要ADME參數見表1。
表1 本品理化性質信息

結果匯總:
使用GastroPlus搭建了一系列PBPK模型,測定吉西他濱不同的給藥方案包括每日一次、兩次、三次給予1000 mg的片劑,以及每日三次給予1500 mg的片劑。小編運用GastroPlus軟件在不同給藥方案下預測的藥代動力學特性見表2。
表2 建模模擬值

表3 文獻建模值

本工作中通過標準靜脈推注治療方案預測的PK參數和在癌癥患者中研究的數據較為相似(在30min推注完成時,最大的血藥濃度估算為13.132mg/L)。
所有口服給藥的研究方案中所預測的Cmax均低于靜脈推注的結果(模擬最大的Cmax為2.496mg/L,為每日三次給藥1500mg片劑后預測值)。
上述表2建模模擬值和表3文獻建模值報道的PK參數基本一致。
圖1 靜脈推注1800mg、1000片3次/天與1500mg片2次/天、3次/天的AUC比較

圖2 文獻中靜脈推注1800 mg、1000片3次/天與1500 mg片2次/天、3次/天的AUC比較結果

盡管吉西他濱口服給藥的血漿濃度較低,但如圖1所示,三種口服給藥方案所估算的吉西他濱體內暴露量AUC0-inf (每日三次給予1000 mg片劑的結果為16.548μg*h/mL,每日兩次給予1500 mg片劑的結果為17.582 μg*h/mL,每日三次給予1500 mg片劑的結果為24.661 μg*h/mL)均比靜脈給藥(14.990 μg*h/mL)的結果高。
與圖2文獻報道的AUC結果一致。
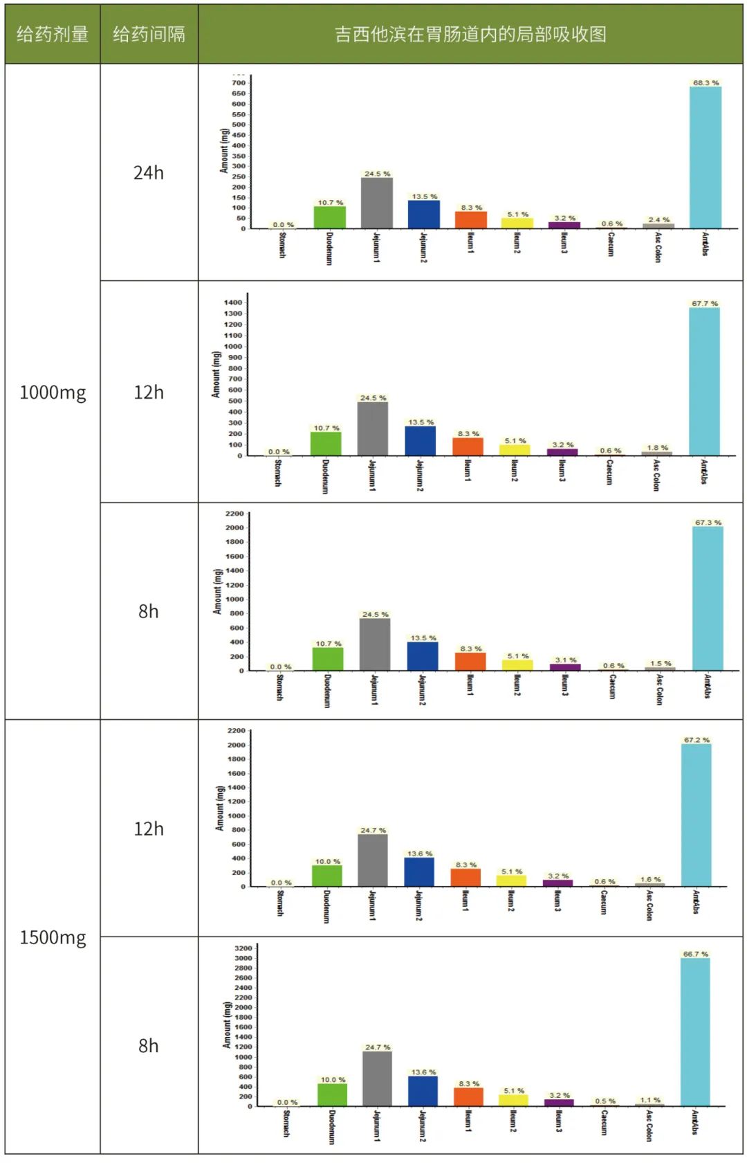
表4 不同給藥方案下口服吉西他濱在胃腸道內的局部吸收圖

上述表4結果說明不同給藥方案后吉西他濱的吸收分布特征沒有顯著差異。
本研究表明與靜脈給藥相比,所有口服給藥方案預測的Cmax較低,但三種研究條件下預測的AUC均更高。盡管血藥濃度稍低,但體內藥物暴露量的增加表明其仍保持治療效果。此外,即使每日多次給藥的總劑量高于1800 mg (最大日給藥劑量為4500 mg)也未發現藥物的蓄積現象。綜合本研究的結果,口服給予吉西他濱是當前靜脈給藥這一標準治療方案的一種有前景與可行的替代方案。
本研究結合了系統依賴性的生理、解剖和生化特性,吉西他濱特定的性質參數以及制劑處方參數,基于PBPK建模預測其體內的血藥濃度-時間曲線。此外,可以利用這些信息確定有效和安全濃度的最佳給藥方案。這還是基于吉西他濱口服給藥的潛在新制劑以及基于藥物給藥系統的納米技術,進行個體化給藥的一個案例。
參考文獻:
Permeability of Gemcitabine and PBPK Modeling to Assess Oral Administration. Curr. Issues Mol. Biol. 2021,43,2189–2198.https://doi.org/ 10.3390/cimb43030153.
作者:Ferreira, A.; Lapa, R.; Vale, N.
-END-


轉載聲明:未經本網或本網權利人授權,不得轉載、摘編或利用其他方式使用上述作品。已經本網或本網權利人授權使用作品的,應在授權范圍內使用,并注明“來源:新領先醫藥科技”。

Hotline服務熱線:010-83057670
簡體中文

010-83057670
聯系地址:
技術市場部:
北京新領先
新領先藥訊
010-61006450
